I developed a resilience-cost-oriented energy trading model for socially vulnerable community microgrids, designed to decide both trading values and payment values per kW, unlike existing models that consider only total payment. The model combines distributed optimization of individual microgrid problems with a central market clearance mechanism, enabling cooperative trading that ensures social equity across participants, in contrast to traditional game-based models focused solely on individual benefit. This work was conducted as part of a U.S. Department of Energy, Solar Energy Technologies Office funded project.
The problem is solved using a Lagrangian-based approach and a modified ADMM algorithm with binary constraint treatment. The method demonstrated reliable convergence to market requirements, achieving up to 17% improvement in resilience and a 36% reduction in trading costs. The work has been published and presented at IEEE INTELEC 2025.
Paper DOI: 10.1109/INTELEC63987.2025.11214754
Github Repository: https://github.com/FarzaneEzzati/MGTrade-LpBoxADMM
Paper DOI: 10.1109/INTELEC63987.2025.11214754
Github Repository: https://github.com/FarzaneEzzati/MGTrade-LpBoxADMM
[Gallery picture]
Cooperative Energy Trading Framework in A Distributed Form.
[Gallery picture]
Lp Box-Sphere Algorithm.
[Gallery picture]
Average successive difference of dual multipliers over iterations. Note that variables z2 on the manifold is not converging, which inspired further research in this area [y axis is semilogy].
[Gallery picture]
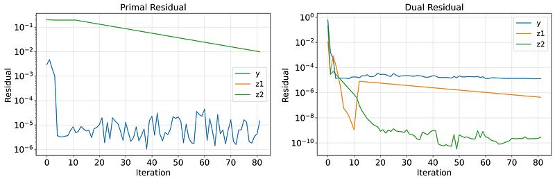
Primal and dual resideuals separated for the three auxiliary variables over iterations [y axis is semilogy].